[Lancet Healthy Longevity, Mikaela Bloomberg et al. 제공. 재판매 및 DB 금지]
英 연구팀 “금연이 치매 예방 전략이 될 수 있음을 시사하는 새 근거”
50세 이후에 금연하는 경우 담배를 계속 피울 때와 비교해 언어 유창성 저하 속도는 절반 정도, 기억력 저하 속도는 약 20% 느려지는 등 인지기능 저하를 크게 늦출 수 있다는 연구 결과가 나왔다.
영국 유니버시티 칼리지 런던(UCL) 미카엘라 블룸버그 박사팀은 14일 의학 저널 랜싯 건강한 장수(Lancet Healthy Longevity)에서 유럽과 미국의 40세 이상 9천400여명을 대상으로 금연과 흡연에 따른 인지기능 변화를 12년간 추적 조사해 이런 결과를 얻었다고 밝혔다.
연구팀은 이 관찰연구의 결과를 확정하려면 추가 연구가 필요하다면서도 인지기능 저하 속도가 느려지는 것은 치매 위험 감소와 관련이 있기 때문에 이 연구 결과는 금연이 치매 예방 전략이 될 수 있음을 시사하는 새 근거를 더해 준다고 말했다.
흡연이 뇌 건강에 해로운 이유 중 하나는 뇌에 산소를 공급하는 혈관을 훼손하는 등 심혈관 건강에 나쁜 영향을 주기 때문이다. 흡연은 또 만성 염증을 유발하고 산화 스트레스를 통해 뇌세포를 직접 손상하는 것으로 알려져 있다.
연구팀은 금연 후 단기적으로 인지기능이 개선된다는 이전 연구들이 있었지만 이런 개선 효과가 장기적으로, 특히 중·노년기에 금연한 사람에게도 지속되는지는 알려지지 않았다고 지적했다.
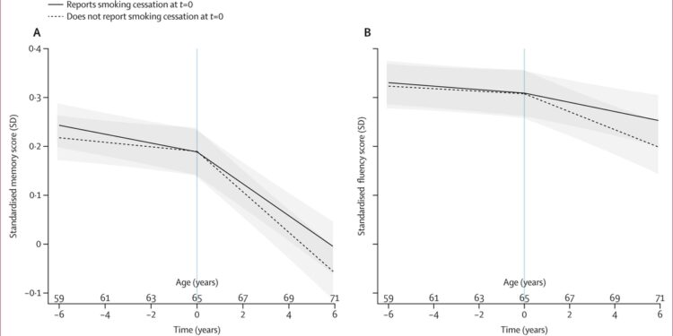
이들은 이 연구에서 50세 이상을 대상으로 진행된 영국 고령화 종단 연구(ELSA)와 유럽 건강·고령화·은퇴 조사(SHARE), 미국 건강 및 은퇴 연구(HRS) 참가자 중 금연한 사람과 계속 흡연한 사람 4천718명씩을 선별해 1대1로 비교했다.
금연자 그룹과 흡연자 그룹은 연구 시작 시점의 인지능력 점수뿐 아니라 나이, 성병, 교육 수준, 출생국 등 요인을 일치시켰고, 연구 시작 전후 6년간, 총 12년 동안의 언어 유창성(verbal fluency)과 기억력(memory) 변화를 추적했다.
그 결과 금연 직전 6년 동안 두 그룹의 기억력과 언어 유창성 점수는 거의 같은 속도로 감소했으나 금연 이후 6년 동안은 두 그룹의 점수 변화가 뚜렷하게 달라진 것으로 나타났다.
금연 그룹의 경우 언어 유창성 저하 속도는 흡연 그룹보다 약 50% 느려졌으며 기억력 저하 속도는 약 20% 느려진 것으로 분석됐다.
연구팀은 이는 계속 흡연자의 언어 유창성과 기억력이 1년 치만큼 노화가 진행됐다고 볼 경우, 금연자의 언어 유창성은 노화가 6개월 정도, 기억력은 3~4개월 정도 덜 진행되는 것으로 볼 수 있다고 설명했다.
논문 공동 저자인 앤드루 스텝토 교수는 “인지기능 저하가 느릴수록 치매 위험이 낮다. 이 결과는 금연이 치매 예방 전략이 될 수 있다는 근거를 더해준다”며 “다만 이를 확정하려면 치매 자체를 직접 다루는 추가 연구가 필요하다”고 말했다.
블룸버그 박사는 “노년기 금연이 신체 건강 개선에 도움이 된다는 것은 잘 알려져 있다. 이 연구는 50세 이후의 금연이 장기적으로 더 나은 인지 건강에도 도움이 될 수 있음을 보여준다”며 “이 결과가 젊은 층보다 금연을 덜 시도하는 경향이 있는 중장년층에게 강력한 금연 동기를 줄 수 있을 것”이라고 밝혔다.
◆ 출처 : The Lancet Healthy Longevity, Mikaela Bloomberg et al., ‘Cognitive decline before and after mid-to-late-life smoking cessation: a longitudinal analysis of prospective cohort studies from 12 countries’, https://www.thelancet.com/journals/lanhl/article/PIIS2666-7568(25)00072-8/fulltext
























